9+ Nitrous Jet Chart


Zex Nitrous Oxide Fuel Jets Each Ns6500h 046 Dry Wet Nos Ebay


Engine Aftertreatment Fuel Quality And Non Tailpipe Achievements To Lower Gasoline Vehicle Pm Emissions Literature Review And Future Prospects Sciencedirect


Jetting Charts Nitrous Outlet


9 Times Table Learn Table Of 9 Multiplication Table Of Nine


Nos Single Nozzle Pill Chart Ls1tech Camaro And Firebird Forum Discussion


Ufo Part 3 Of 16 Pdf


Nitrous Oxide Fuel Jet Size And Hp Calculator Nos N2o


How Much Does Travel Contribute To The Global Warming Quora


Nitrous Oxide Fuel Jet Size And Hp Calculator Nos N2o


Controller Executive Controller


All Abstracts Apcche2019


Jets For 50 75 Shot Cobalt Ss Network


Engine Aftertreatment Fuel Quality And Non Tailpipe Achievements To Lower Gasoline Vehicle Pm Emissions Literature Review And Future Prospects Sciencedirect


Tm 9 1900 Ammunition General 1945 Pdf Shell Projectile Firearms


How Much Does Travel Contribute To The Global Warming Quora


Nos Nitrous Holley 2 Edelbrock Or Nos Brand Stainless Steel Jets Low Price Ebay


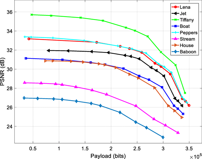
A Difference Matching Technique For Data Embedment Based On Absolute Moment Block Truncation Coding Multimedia Tools And Applications


Nitrous Express Jetting Charts

Iklan Atas Artikel

Iklan Tengah Artikel 1

Iklan Tengah Artikel 2

Iklan Bawah Artikel